Search for:
MENU
MENU
Home
About Us
E-Catalog
Technical Data
AutoFlow Valves
Balancing Overview
Automatic Balancing
Benefits
System Design
Objections
AutoFlow Cartridges
Energy Savings
Variable Speed Pumping
Selecting Valve
REVIT library
Accusetter Manual Balancing Valves
Autoflow Automatic Balancing Valves
Hook Up Assemblies and Components
Balancing / Selections Procedure
Brass Model UA Flow Chart
Steel Models Flow Chart
Accusetter Balancing Procedure
Accusetter Balancing Report Form
Steel Venturi Selection Procedure
VersaFlow Hoses
VersaFlow Hose Kit A
VersaFlow Hose Kit B
VersaFlow Hose Kit C
Hose Kit Assemblies
Installation, Operation, and Maintenance
AutoFlow Control Valves
Dual Hose Meter Kit
Accusetter
Hose Assemblies
VersaFlow
Manual Air Vent
Flow Measurement Test Kits
General Specifications
Cartridge and Y-Body Removal
WS Canister Assembly Procedure
Extended Handle Installation Guide
Projects
Brochures
Product Map
Why FDI?
AutoFlow Brochure
Competition Analysis
Steel Hook-Up Brochure
Lead-Free Valves
FDI Training Center
News
Engineering Blog
TN Tornado
Videos
Rep Spotlight Showcase
Contact Us
Careers
RMA Request Form
«
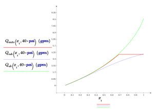
Modulating Control Valves and Autoflow™
Flow Comparison
«
Modulating Control Valves and Autoflow™
Leave a Reply
Cancel reply
You must be
logged in
to post a comment.